Happy Education
ホーム
Home
DS研究会
DS Study
おすすめグルメ
gourmet
数学授業
Mathematics
2024数学III
2019文系①
2019文系②
2019理系数学Ⅲ
2019理系ⅠAⅡB
センター試験
情報授業
Informatics
2024情報講習
Informatics
ホーム
Home
DS研究会
DS Study
おすすめグルメ
gourmet
数学授業
Mathematics
2024数学III
2019文系①
2019文系②
2019理系数学Ⅲ
2019理系ⅠAⅡB
センター試験
情報授業
Informatics
2024情報講習
Informatics
Happy Education
ホーム
Home
DS研究会
DS Study
おすすめグルメ
gourmet
数学授業
Mathematics
2024数学III
2019文系①
2019文系②
2019理系数学Ⅲ
2019理系ⅠAⅡB
センター試験
情報授業
Informatics
2024情報講習
Informatics
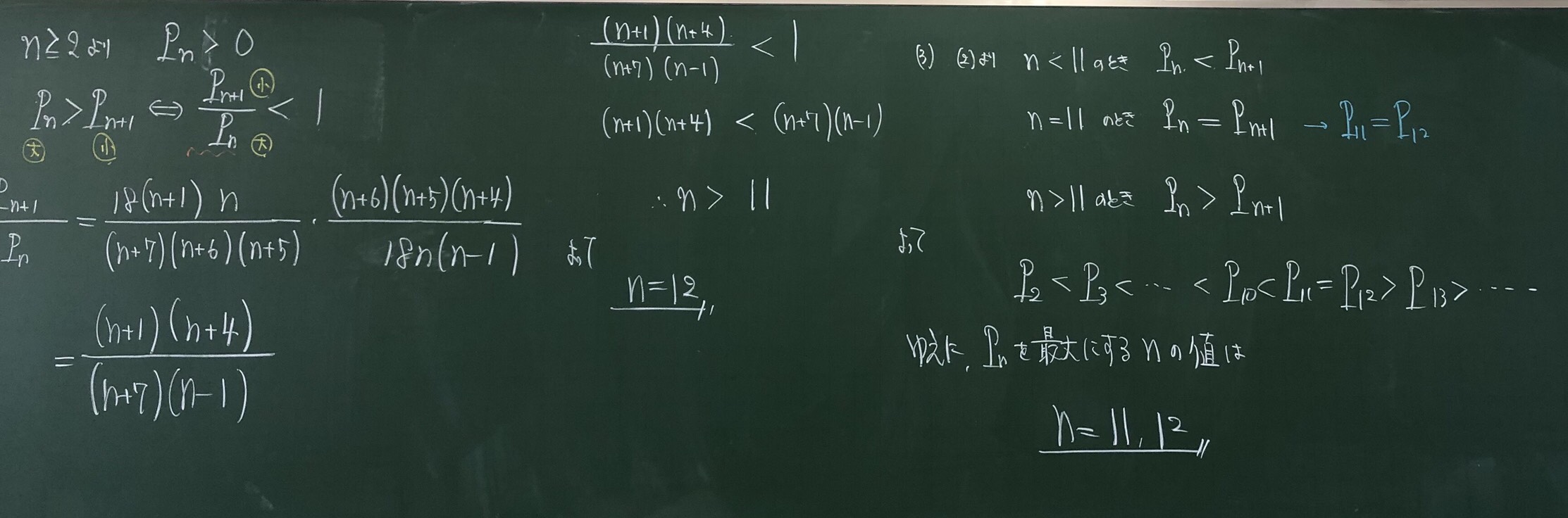
2019理系数学ⅠAⅡB
2019.09.17
2019.09.17
Originally posted 2019-09-17 19:44:11.
Sponsord Link
おすすめの記事
兵庫グルメ
兵庫・ふなこし
姫路の超おすすめ、エビカツ!これは絶品で、私の大好物...
京都グルメ
京都・Haccomachi
ヘルシーな朝食で、一つ一つが丁寧で美味しい一品です...
兵庫グルメ
兵庫・オニバ
三ノ宮、元町にあるビフカツ...
大阪グルメ
十三・くそオヤジ最後のひとふり
...
プロフィール
はっぴーマン
人生の備忘録を綴ります。
記事一覧
2019.06.28
第21回センター試験数学 2002年追試験のある一問
2019.10.23
東京・わ蔵
第16回センター試験数学 2004年本試験のある一問
2019.05.15
兵庫・だんだん
ハワイ・Island Vintage Coffee Waikiki